banner
CORRECTION OF THE MAJOR ERROR
IN ELECTROMAGNETIC THEORY
AND
TRANSITION TO THE ALICE LAW

Han Erim
Independent
Researcher

August 11, 2025
DOI:
https://zenodo.org/records/17919673


I – PREFACE
In today's Electromagnetic Theory, the speed of
light is
accepted as constant for all reference frames and is symbolized by the
constant
“c”. However, according to the reference
frame of the object emitting the light, the speed of the emitted
light
signal is often different from “c”. This is due to a phenomenon
called the Doppler Shift, which
changes the wavelength of the emitted light signal; the speed of the
emitted
signal is then determined by the "Wave
Speed" equation.
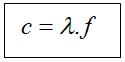
WAVE SPEED EQUATION
Wave speed = Wavelength x Frequency of the wave

In this study, it has been set forth, based on the Wave Velocity and
Doppler Shift equations, that the speed of light varies with respect to
reference frames. This result has shown that, in the current
Electromagnetic Theory, the approach I have called the
Alice Law — based on the
(c+v)(c−v) mathematics — should be
taken as the foundation.
II – INTRODUCTION
If the Source Object emitting the signal and
the Target Object receiving it are stationary
relative to each other, then
according to the Source Object, the speed of the signal is constant,
namely “c”.

If the Source Object and the Target Object are stationary relative to each other,
then according to the reference frame of the Source Object, the speed
of the emitted light signal
is “c”. |

However, if the Source Object and the Target Object are
moving relative to each other,
the emission frequency of the signal does not change,
but the
wavelength of the signal
changes. In this case,
since the wave speed will be determined according to the altered
wavelength,
the speed of the emitted signal will be different from the value “
c”.

If the Source Object and the Target Object are moving relative to each other,
then according to the reference frame of the Source Object, the speed
of the emitted light signal
is different from “c”.
|

For the
Target Object
receiving the signal,
the situation is different. According to an object's own reference
frame,
the speed of an incoming light signal is always constant and equal to
“c”. This is a result obtained
through measurement, and in physics this is why the constant “
c” exists.

If the Source Object and the Target Object are stationary relative to each other,
then according to the Target Object's reference frame, the speed of the
incoming light signal
is equal to “c”. The wavelength and frequency of the incoming signal
are the same as the wavelength and frequency
values of the signal emitted by the Source Object. |

However, if the
Source Object and the Target Object are moving relative to each other,
the speed of the light signal reaching the Target Object will still be “
c”.
However, due to the change in the wavelength of the emitted signal, for
the Target Object, both the wavelength and the frequency of the
incoming signal will be different.

If the Source Object and the Target Object are moving relative to each other,
then according to the Target Object's reference frame, the speed of the
incoming light signal
is “c”, but the wavelength and
frequency
of the signal have changed. |

In this study, it has been
mathematically shown that light behaves as described here. As a result,
in Electromagnetic Theory, it is necessary to switch to the mathematics
shown here, called the (c+v) (c-v) mathematics.
III –
METHOD AND FINDINGS
The Beginning of the Event, Figure 1:

As a starting point, I will describe an “
Event”
and then develop the topic.

As seen in the figure below, at position
A
there are three Target Objects (boxes) and
at position
B there are three
Source Objects
(lamps). The boxes are identical to each other. The lamps are identical
to each other.

At the beginning of the event, the Target Objects and the Source
Objects are
stationary at
their respective positions A and B.

The Event Starts,
Figure
2:
All three lamps turn on at the same time, and simultaneously,
Lamp 2 moves away from the boxes,
while Lamp 3 moves towards the boxes. I denote the speed of the lamps
as "
v". Both
lamps move at the same speed but in opposite directions.
The Development of
the Event,
Figure 3
While the light emitted from the lamps travels toward their respective
targets, Lamp 2 and
Lamp 3 continue moving in their respective directions. I accept as a
basic fact of physics that
the speed of the light beams traveling toward the Target Objects is "
c"
relative to the targets. Since the lamps are located at position B and
turn on at the same time, the distances between the boxes and the
approaching light beams will always be equal.

End of the Event,
Figure 4
Since
the lights were turned on when the lamps were at position B, the lights
reach their targets at position A at the same time and in a duration of
"t" (

).
For the moment when the lights arrive, I show on the figure the
distances of the lamps from the boxes.

After expressing the dimensions mathematically, we can easily see that
the statement that the speed of light is
"
c" in all reference frames is
not possible and is fundamentally
incorrect.

Here are the data we have obtained so far, presented in a table below.
VALUES TABLE
Light arrival
time:
|
|
Distances between the Boxes and the Lamps at the moment the lights
reach the boxes:
|
Box 1 - Lamp 1
|
 |
Box 2 - Lamp 2
|
|
Box 3 - Lamp 3
|
|
Speeds of the light signals emitted by the lamps according to their own reference frames:
|
Lamp 1
|
|
| Lamp 2 |
|
| Lamp 3 |
|
Speeds of the incoming light signals toward the boxes according to their own reference frames:
|
Box 1
|
|
Box 2
|
|
Box 3
|
 |
As can be seen in the Values
Table, the values (c+v) and (c-v) represent the speeds of the light
signals emitted
by the lamps
according to their own reference frames.
Since the speed of light varies depending on the reference frame used,
the speed of a light signal can only be accurately defined using the
“(c+v) (c-v) Mathematics". Alice Law
is the Electromagnetic Theory based on this mathematics. Therefore,
when you state that you have adopted Alice Law, you are, in fact,
stating that you have adopted the
(c+v)
(c-v) Mathematic
Universality of the
Event, Figure 5

When describing the
“Event,” I stated that in the initial state, the Lamps and Boxes were
stationary. However, in the universe, no object is truly at rest. Even
if the Lamps and Boxes are stationary relative to each other, this does
not mean that they are not moving. Let us consider that the “Event”
described here takes place within a higher-level frame of reference.
This higher frame may be moving in any direction and at any speed.
Nevertheless, the “Event” occurs exactly the same way, without any
change. In physics, this is explained by the
Galilean Principle of Relativity.

Galilean Principle of
Relativity: The fundamental
laws of physics are the same in all reference frames moving at constant
speed relative to one another.
|

Therefore, in the “Event”
described here, the values we calculated for distances and speeds are
the correct ones to rely on. Since we have incorporated the Galilean
Principle of Relativity into the logic of the “Event,” we can now
formulate a consistent principle for the behavior of light as follows:
| Universal
Light Speed:
In empty space, light travels at the constant speed c, relative to the
reference frame of its arrival target, regardless of the source
emitting it. |

Event development
and wavelengths, Figure 6

At this stage, by adding
the wavelengths of the emitted light to the “Event” we are examining,
we will reach important conclusions. Let us now express the
distances

in terms of
wavelengths.

It was assumed that the
lamps are identical to each other. Therefore, the frequencies of the
light emitted from all three lamps are equal. Let us define this
frequency value as

.
The frequency

is a common
value for all three lamps.

Let us assume that the
photons forming the light from the lamps are emitted one by one and in
succession by the lamps. We will number the photons according to their
order of emission and, in addition, represent the wavelength of each
photon as a complete sine wave. As shown in the figure below, photon
number 1 is emitted, followed by photon number 2, and the emission of
light continues in this manner. Let us assume that at the moment when
the photons numbered 1 reach their targets, the emission of photons
numbered “n” has been completed. Accordingly, at the moment of light
arrival, the situation of the photons will be as shown in the figure
below.

Let us pay attention here.
Because the frequencies of the lamps are equal to each other, all three
lamps have emitted n photons within the same time t. However, the
wavelengths of the emitted light are not equal to each other. Since
“Box 2 and Lamp 2” and “Box 3 and Lamp 3” are moving relative to each
other, the wavelengths of the light signals emitted from Lamp 2 and
Lamp 3 have changed.

If we take the wavelength of the light emitted from “Lamp 1” as a
reference point;
The wavelength of the light emitted from “Lamp 2” has
increased.
The wavelength of the light emitted from “Lamp 3” has
decreased.

The change in wavelength caused by the relative motion between the
Source Object and the Target Object is known in physics as the
Doppler Shift,
and the figure above shows us the formation of the Doppler Shift. And
again, note that when the lights (photons) are emitted, they are
emitted with
changed wavelengths.
In the Doppler Shift, the change in wavelength occurs in the Source
Object and
during the emission of the
light signal.
The change in wavelength caused by the relative motion between the
Source Object and the Target Object is known in physics as the
Doppler Shift,
and the figure above illustrates the formation of the Doppler Shift.
And again, note that when the lights (photons) are emitted, they are
emitted with already
changed
wavelengths. In the Doppler Shift, the change in wavelength
occurs in the Source Object and
during
the emission of the light signal.
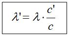
Deriving Wave Speed
Equations for Source and Target Objects:

First, let us rewrite here the general Doppler Shift equation we
obtained above:


1) According to the Source Object’s own reference frame, write the
speed of the light signal sent to a
stationary
Target Object:


2) Using the two equations
above, according to the Source Object’s own reference frame, write the
speed of the light signal sent to a
moving
Target Object:
 |
According
to the Source Object’s own reference frame, the speed of the signal
sent to the moving Target Object |
 |
The
wavelength of the signal emitted from the Source Object that has
undergone Doppler Shift |
 |
The
emission frequency of the signal at the Source Object |

3) According to the Target Object’s reference frame, the wavelength of
the signal coming from a
stationary
Source Object will not change. By measuring the wavelength of the
incoming signal, we can find the signal’s frequency. The frequency we
obtain will be the same as the source’s frequency. Then we can write
the wave speed equation for the incoming signal:

4) According to the Target Object’s reference frame, if the signal it
receives was emitted by a
moving
Source Object, the signal will still arrive with at speed “
c”, but its wavelength will have
changed due to the Doppler Shift. Let us define the changed wavelength
as

.
Then, by calculating the frequency, we can write the wave speed
equation.
 |
According
to the Target Object’s own reference frame, the speed of the signal
arriving from the moving Source Object |
 |
1-
The wavelength of the signal emitted by the Source Object. Due to the
Doppler Shift, the wavelength has changed.
2- The wavelength of the signal arriving at the Target Object. |
 |
For
the Target Object, the frequency of the signal arriving at it. |
IV – RESULTS AND DISCUSSION

There is much that could be said here, but I will say only this:
Recognize the great mistake made in the past within the theory of
physics and immediately turn to what is correct. The information
provided in this publication falls within the scope of basic physics
knowledge, and it is information that everyone engaged in the science
of physics—whether amateur or professional, young or old, student or
professor—must learn and understand. And of course, you will be
responsible for this knowledge: personally, as an educator, and
institutionally.

And I ask you earnestly, do not involve Albert Einstein in this matter.
With both his truths and his errors, he expressed his own ideas. It is
very clear from this publication that the Theory of Relativity is not a
valid theory. What you need to do is to direct yourself toward what is
correct.
V – REFERENCES

I found these publications
about twenty-five years ago, when I first began working on the Alice
Law. These publications are studies showing that things are not going
well within the Theory of Relativity. Thanks to these works, I was able
to find the strength to continue developing the Alice Law. I would like
to thank the authors of these publications here.
The GPS and the Constant Velocity of
Light
Paul Marmet, Professor, Physics, Laval University, Québec, Canada
1962-83, Senior Research Officer, National Research Council of Canada
1983-90
Successful GPS Operations Contradict
the Two Principles of Special Relativity
and Imply a New Way for Inertial Navigation – Measuring Speed Directly
Ruyong Wang, St. Cloud State University, St. Cloud, Minnesota, United
States
Clock Behavior and the Search for an
Underlying Mechanism for Relativistic Phenomena
Ronald R. Hatch, NavCom Technology, Inc
Lunar Laser Ranging Test Of The
Invariance Of C
Daniel Y. Gezari
NASA/Goddard Space Flight Center, Laboratory for ExoPlanets and Stellar
Astrophysics,
One-Way Light Speed Determination
Using the Range Measurement Equation of the GPS
Stephan J. G. Gift
Department of Electrical and Computer Engineering Faculty of
Engineering
The University of the West Indies St. Augustine, Trinidad, West Indies
Resolving Spacecraft Earth-Flyby
Anomalies with Measured Light Speed Anisotropy
Reginald T. Cahill
School of Chemistry, Physics and Earth Sciences, Flinders University,
Adelaide 5001, Australia
Link